Preview

Российский педиатрический журнал имени М.Я. Студеникина

Расширенный поиск

Алгоритм иммунологического обследования детей с иммунозависимыми заболеваниями для прогноза эффективности биологической терапии

https://doi.org/10.46563/1560-9561-2025-28-6-408-419

EDN: yymyqa

Содержание

Перейти к:

Аннотация

Введение. Появление широкого спектра генно-инженерных биологических препаратов (ГИБП) открывает возможности для персонализированного подхода при лечении иммунозависимых заболеваний. Актуальной становится разработка методов прогнозирования эффективности биологической терапии для своевременной коррекции лечения. Цель: разработать алгоритм иммунологического обследования детей с воспалительными заболеваниями кишечника (ВЗК), псориазом (ПС), рассеянным склерозом (РС) для прогноза эффективности ГИБП.

Материалы и методы. Обследовано 486 детей в возрасте от 3,5 до 18 лет с иммунозависимыми заболеваниями. Проведены определение и анализ комплекса показателей: содержание основных (Т-, В-, NK-клетки) и малых популяций лимфоцитов (Th17-лимфоциты, регуляторные Т-клетки (Treg), активированные Т-хелперы), популяций Т-клеток памяти, популяций миелоидных клеток супрессоров (MDSCs), Treg с экспрессией эктонуклеотидазы CD39, активность сукцинатдегидрогеназы (СДГ) в популяциях лимфоцитов, активность ядерного фактора kB (NF-kB) в популяциях лимфоцитов. Группу сравнения составили 100 условно здоровых детей, сопоставимых по возрасту. Прогностическую значимость показателей, уровень пороговых значений (cut-off) оценивали с помощью метода характеристических кривых (ROC-анализа).

Результаты. Высокая вероятность прогноза (> 70%) эффекта терапии ГИБП получена для индекса Th17/Treg независимо от формы патологии и длительности терапии; для абсолютного содержания регуляторных клеток (Treg и MDSCs) независимо от формы патологии в период поддерживающего курса ГИБП; активности СДГ в Treg — при ВЗК и ПС независимо от длительности терапии; при сочетании активности СДГ в Treg и индекса Th17/Treg — при ВЗК, ПС и РС независимо от длительности терапии; субпопуляций Т-клеток памяти — при ВЗК, ПС и РС в поддерживающий курс; относительного содержания Treg с экспрессией эктонуклеотидазы CD39 при ВЗК и РС после индукционного курса. Превышение пороговых значений по уровню NF-κВ в NK-клетках с высокой вероятностью (> 70%) прогнозирует активацию воспалительного процесса на фоне терапии у детей при ВЗК, ПС и РС.

Заключение. Разработан двухэтапный алгоритм иммунологического обследования детей с ВЗК, ПС и РС, который с высокой вероятностью позволяет прогнозировать эффект биологической терапии и активность воспалительного процесса до назначения ГИБП и в период поддерживающего курса.

Участие авторов:
Радыгина Т.В., Петричук С.В. — концепция и дизайн исследования;
Радыгина Т.В., Петричук С.В., Купцова Д.Г., Курбатова О.В., Анушенко А.О., Опрятин Л.А., Абдуллаева Л.М., Фрейдлин Е.В. — сбор и обработка материала;
Радыгина Т.В., Петричук С.В. — написание текста;
Фисенко А.П., Потапов А.С., Мурашкин Н.Н., Кузенкова Л.М. — редактирование.
Все соавторы — утверждение окончательного варианта статьи, ответственность за целостность всех частей статьи.

Финансирование. Исследование проведено в рамках государственного задания Минздрава России, № 119013090093-2, 122040800220-9.

Конфликт интересов. Авторы заявляют об отсутствии конфликта интересов

Поступила 10.11.2025
Принята к печати 27.11.2025
Опубликована 25.12.2025

 

Для цитирования:


Радыгина Т.В., Петричук С.В., Фисенко А.П., Купцова Д.Г., Курбатова О.В., Анушенко А.О., Опрятин Л.А., Абдуллаева Л.М., Фрейдлин Е.В., Потапов А.С., Мурашкин Н.Н., Кузенкова Л.М. Алгоритм иммунологического обследования детей с иммунозависимыми заболеваниями для прогноза эффективности биологической терапии. Российский педиатрический журнал имени М.Я. Студеникина. 2025;28(6):408-419. https://doi.org/10.46563/1560-9561-2025-28-6-408-419. EDN: yymyqa

For citation:


Radygina T.V., Petrichuk S.V., Fisenko A.P., Kuptsova D.G., Kurbatova O.V., Anushenko A.O., Opryatin L.A., Abdullaeva L.M., Freydlin E.V., Potapov A.S., Murashkin N.N., Kuzenkova L.M. Algorithm for immunological examination of children with immune-dependent diseases to predict the effectiveness of biological therapy. M.Ya. Studenikin Russian Pediatric Journal. 2025;28(6):408-419. (In Russ.) https://doi.org/10.46563/1560-9561-2025-28-6-408-419. EDN: yymyqa

Введение

Для лечения иммунозависимых заболеваний (ИЗЗ) успешно применяются генно-инженерные биологические препараты (ГИБП). Широкий спектр ГИБП открывает возможности для реализации персонализированного подхода при лечении ИЗЗ. В этой связи актуальной становится разработка методов прогнозирования эффективности биологической терапии для своевременной оптимизации лечения. Интенсивно исследуются как лабораторные, так и клинические биомаркеры для оценки эффекта биологической терапии. Под биомаркером понимают объективно измеряемый показатель, который служит индикатором нормальных физиологических, патологических процессов или реакций на терапевтическое вмешательство [1]. Биомаркеры подразделяют на подтипы, ассоциированные с мониторингом состояния, прогнозом течения болезни и ответом на лечение [2]. Установлена связь между повышенным индексом массы тела и сниженным ответом на терапию адалимумабом (ADA) у больных воспалительными заболеваниями кишечника (ВЗК) [3]. Описаны новые серологические маркеры, демонстрирующие положительную корреляцию с эффективностью лечения при ВЗК (такие как ST2 — рецептор к интерлейкину (ИЛ)-33), а также информативность для мониторинга активности воспаления (S00А12 — провоспалительный кальцийсвязывающий белок; фекальный лактоферрин; матриксная металлопротеиназа-9) [4].

У больных псориазом (ПС) выявлены корреляции между индексом распространённости и тяжести ПС PASI (Psoriasis Area and Severity Index) и концентрациями интерферон-γ (ИФН-γ), ИЛ-13 [5]. В качестве предикторов ответа на биологическую терапию авторы предлагают использовать соотношение ИФН-γ/ИЛ-13, ИЛ-17A/ИЛ-13, ИФН-γ/ИЛ-4 и ИЛ-17A/ИЛ-4 [5].

При рассеянном склерозе (РС) в качестве прогностического биомаркера рассматриваются концентрации нейрофиламентов, повышение уровня которых ассоциировано с активностью болезни и позволяет предсказать ответ на терапию [6]. У больных РС прогностическое значение для оценки активности заболевания имел индекс, рассчитываемый как отношение концентрации хемокина CXCL13 в ликворе к его уровню в сыворотке крови, нормализованное на соотношение альбумина в ликворе и сыворотке [2]. Больные с впервые диагностированным РС, высоким положительным индексом нуждались в назначении более агрессивной терапии [2].

Особое внимание уделяется биомаркерам, позволяющим прогнозировать эффект терапии до её начала. У больных с псориатическим артритом установлена высокая прогностическая значимость исходного уровня комплекса маркёров, включающего мембранно-ассоциированные молекулы и растворимые белки (хемокин CXCL10, матриксная миелопероксидаза 3, S100 кальций-связывающий белок A8, кислая фосфатаза 5), в отношении ответа на терапию ингибиторами фактора некроза опухоли (ФНО) [7].

Прогностическая информация может быть получена также при анализе содержания клеточных популяций. Для предсказания эффективности ингибиторов ФНО (инфликсимаб (IFX)/ADA) и ведолизумаба (гуманизированное моноклональное антитело против α4β7-интегрина — VDZ) у больных с ВЗК оценивался комплексный индекс, основанный на содержании IgG-плазмоцитов, воспалительных моноцитов, активированных Т-лимфоцитов и стромальных клеток [7].

При болезни Крона определялся баланс между субпопуляциями Т-хелперов (Treg, Th1 и Th17) и выявлено, что соотношения Treg/Th1 и Treg/Th17 могут служить потенциальными предикторами рецидива болезни Крона [8]. Ранее нами была показана информативность определения различных иммунных показателей, таких как содержание популяций лимфоцитов, в том числе малых (Th17, Treg) [9], популяций миелоидных клеток-супрессоров (MDSCs) [10], Т-клеток памяти [11], изменений метаболической активности лимфоцитов (активность сукцинатдегидрогеназы (СДГ), экспрессия эктонуклеотидазы CD39 на Treg) [12], а также уровней ядерного фактора κB (NF-κB) в популяциях лимфоцитов у больных с ВЗК, ПС и РС для оценки активности воспалительного процесса [13].

Работ по использованию комплекса биомаркеров для прогноза эффективности ГИБП у детей недостаточно. M. Cattalini и соавт. выявили, что уровни матриксной металлопротеиназы-3, ИЛ-6 и ИЛ-10 могут прогнозировать исход терапии ювенильного идиопатического артрита через 6 и 12 мес. Более высокая концентрация ИЛ-6 предсказывала быстрое наступление рецидива синовиального воспаления, а увеличение уровня ИЛ-10 — большую продолжительность эффекта применения кортикостероидов [14].

Цель работы: разработать алгоритм иммунологического обследования у детей с ВЗК, ПС, РС для прогноза эффективности ГИБП.

Материалы и методы

Проведено комплексное иммунологическое обследование больных с ВЗК, ПС и РС на терапии ГИБП (табл. 1). Возраст детей, включённых в исследование, составил от 3,5 до 18 лет. Протокол исследования был одобрен независимым локальным этическим комитетом. Родители пациентов дали письменное добровольное информированное согласие на участие в исследовании.

Больные получали ГИБП согласно рекомендованным схемам: дети с ВЗК — блокаторы ФНО (IFX в дозе 5–10 мг/кг каждые 6–8 нед, ADA в дозе 40 мг каждые 1–2 нед); пациенты с ПС — ADA (в дозе 40 мг каждые 1–2 нед); больные РС — ИФН-β1α в дозе 22 мкг/44 мкг 3 раза в неделю. Комбинированную терапию с азатиоприном получали 80% пациентов с ВЗК на терапии IFX, 46% больных ВЗК на терапии ADA. Терапию с добавлением метотрексата получали 45% детей с псориазом на ADA. Больные были распределены на группы «обострение/ремиссия» в зависимости от индексов клинической активности и функциональных исследований: группа детей с ВЗК в ремиссии — индексы PCDAI (Pediatric Crohn’s Disease Activity Index)/PUCAI (Pediatric Ulcerative Colitis Activity Index) — ≤ 10 и состояние эндоскопической ремиссии; группа с ВЗК в обострении — индексы PCDAI/PUCAI > 10 и эндоскопическое обострение; пациенты с псориазом — индекс PASI (Psoriasis Area and Severity Index) — ≤ 10 — ремиссия, > 10 — обострение; больные РС — с контрастнегативными очагами демиелинизации на МРТ (ремиссия), с контрастпозитивными очагами демиелинизации (обострение).

Эффективность ГИБП у больных оценивали к году терапии. Группа с хорошим эффектом включала пациентов, у которых к году терапии наблюдались: для ВЗК —индексы PCDAI/PUCAI ≤ 10 с эндоскопической ремиссией, для ПС — достижение PASI 75, для РС — клиническая ремиссия и отсутствие активных очагов на МРТ. В группу с недостаточным эффектом входили больные, у которых к году терапии для ВЗК — индексы PCDAI/PUCAI были > 10 c эндоскопическим обострением, для ПС — недостижение PASI 75, для РС — клиническое обострение и наличие активных очагов на МРТ. Группу сравнения составили 100 условно здоровых детей, сопоставимых по возрасту.

У всех больных определяли следующие иммунологические показатели: содержание основных (Т-, В-, NK-клеток) и малых популяций лимфоцитов (Т-регуляторных (Treg), Th17-лимфоцитов, активированных Т-хелперов), популяций CD4+-Т-клеток памяти (клетки центральной памяти — TCM, эффекторной — TEM, терминально-дифференцированной — TEMRA), популяций CD8+-Т-клеток памяти (клетки центральной памяти — TcytCM, эффекторной — TcytEM, терминально-дифференцированной — TcytEMRA), популяции миелоидных клеток супрессоров (М-MDSCs — моноцитарные и G-MDSCs — гранулоцитарные), содержание Treg и Th17-лимфоцитов с экспрессией эктонуклеотидазы CD39, активность СДГ в популяциях лимфоцитов, содержание лимфоцитов с транслокацией ядерного фактора kB (NF-κB). Оценку иммунологических показателей у пациентов проводили на разных этапах лечения ГИБП: до назначения терапии, после индукционного курса, к году терапии.

Иммунофенотипирование лимфоцитов крови проводили методом проточной цитометрии (Novocyte, «ACEA Biosciences»). Использовали моноклональные антитела, конъюгированные с различными флюорохромами: CD4-FITC («Beckman Coulter»), CD127-PE («Beckman Coulter»), CD25-PC7 («Beckman Coulter»), CD161-PE («Beckman Coulter»), CD3-PC5 («Beckman Coulter»), CD3-PC5 («Beckman Coulter»), CD39-APC-Cy7 (Clone A1, «Sony Biotechnology»), СD11 CD33-APC-Cy7 (Clone A1, «Sony Biotechnology»), CD14-APC-Cy7 (Clone AD2, «Sony Biotechnology»), CD15-APC-Cy7 (Clone A1, «Sony Biotechnology»). Для выделения популяций применяли тактику пошагового гейтирования: Treg (CD4+CD25highCD127low), Th17-лимфоцитов (CD4+CD161+CD3+) c экспрессией CD39. Активность СДГ в популяциях клеток оценивали по изменению показателя бокового светорассеяния методом проточной цитометрии [15]. Содержание общей популяции MDSCs в образце определяли в «лимфоидно-моноцитарном» регионе по следующим маркерам: (CD3, CD19, CD56, HLA-DR)-CD11b+CD33+, моноцитарную и гранулоцитарную популяции определяли по наличию CD14+ и CD15+ соответственно. Уровень транслокации NF-κB в популяциях лимфоцитов оценивали с помощью коммерческого набора «Amnis NF-κB Translocation Kit» («Luminex») методом проточной цитометрии с визуализацией («Amnis ImageStreamX Mk II»).

Статистическая обработка данных проведена в программе «Statistica v. 10.0» («StatSoft»). Диагностическую и прогностическую значимость исследуемых параметров, уровень пороговых значений (cut-off) оценивали с помощью метода характеристических кривых (ROC- receiver operator characteristic) на основании анализа площади под кривой (AUC), специфичности (Sp) и чувствительности (Se) в программе SPSS 16.0 («IBM»). Проверку прогностической информативности выявленных биомаркеров проводили на двух внутренних и одной внешней выборках в динамике терапии. Внутренняя выборка включала каждого 3 больного с известным эффектом к году лечения ГИБП (ВЗК — 744 наблюдения, РС — 89 наблюдений), внешняя выборка состояла из 37 пациентов с вульгарным псориазом старше 12 лет (97 наблюдений) на терапии устекинумабом (UST — анти IL-12/23), проводимой согласно рекомендованным дозам (подкожно на 0-й и 4-й неделях и далее каждые 12 нед в дозе 0,75 мг/кг веса или при массе тела ребёнка от 60 до 100 кг — 45 мг).

Вероятность хорошего прогноза (SeP) определяли по частоте верно предсказанных истинно положительных результатов (TP) из общего числа (TP и ложноотрицательные — FN) по формуле [16]:

Частоту верно предсказанных истинно отрицательных результатов (SeN) определяли по формуле:

где TN — число верно предсказанных истинно отрицательных результатов; FP — число ошибочно предсказанных как положительные результатов. Вероятность прогноза эффекта терапии для иммунологических показателей считали высокой при частоте правильных прогнозов ≥ 70%.

Результаты

Прогнозирование эффекта ГИБП в зависимости от индекса Th17/Treg

Анализ содержания основных и малых популяций лимфоцитов показал информативность соотношения Th17-лимфоцитов к Treg для оценки эффективности терапии при исследованных формах патологии (ВЗК, ПС, РС).

При значениях индекса Th17/Treg выше указанных в табл. 2 можно прогнозировать неэффективность терапии к году лечения ГИБП у больных ВЗК, ПС и РС. Выявлена информативность индекса Th17/Treg (с вероятностью прогноза > 70%) для пациентов с ВЗК в течение года терапии независимо от возраста и применяемого препарата, для больных ПС старше 12 лет — на терапии ADA и UST в течение года лечения, у пациентов с РС старше 12 лет — до начала терапии ИФН-β1α.

Прогнозирование эффекта ГИБП в зависимости от абсолютного содержания регуляторных клеток (сумма MDSCS и Treg)

Анализ содержания регуляторных клеток показал, что наибольшие пороговые значения абсолютного содержания Reg-клеток (MDSCS и Treg), выше которых можно прогнозировать хороший ответ ГИБП, выявлены у больных ВЗК — 213 кл/мкл (AUC = 0,813, Se/Sp — 71/71%), наименьший у больных РС — 117 кл/мкл (AUC = 0,819, Se/Sp — 69/80%). У пациентов с ПС пороговое значение для Reg-клеток составило 145 кл/мкл с хорошим качеством разделительной модели (AUC = 0,714, Se/Sp — 64/67%). При снижении Reg-клеток ниже полученных пороговых значений можно прогнозировать недостаточную эффективность ГИБП у больных с ИЗЗ.

Высокая вероятность прогноза эффекта ГИБП в зависимости от пороговых значений Reg-клеток получена для боьных ВЗК до назначения терапии и во время поддерживающего курса терапии блокаторами ФНО, у пациентов с ПС на терапии UST/ADA — к году терапии, у больных РС– до назначения и к году терапии ИФН-β1α.

Прогнозирование эффекта ГИБП в зависимости от содержания наивных Т-клеток и Т-клеток памяти

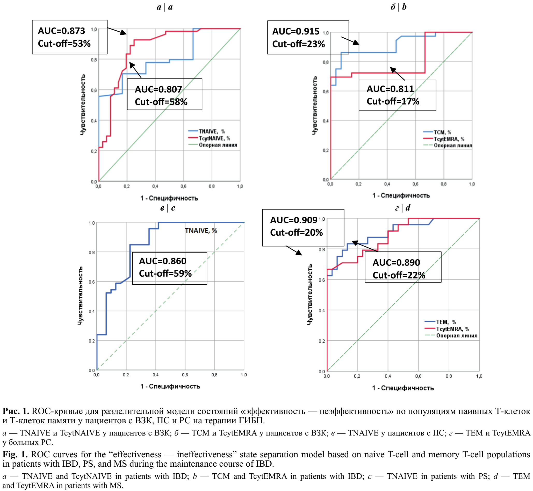
При ROC-анализе получено очень хорошее качество для разделительной модели «эффективность — неэффективность» по содержанию наивных CD4+- и CD8+-Т-клеток и Т-клеток памяти у больных ВЗК, ПС и РС и определены их пороговые значения (рис. 1).

Также получено хорошее и очень хорошее качество разделительной модели (AUC; сut-off %, Se/Sp, %) для пациентов с ПС по показателям TCM (0,765; 22%, 77/68%) и TEM (0,819; 13%, 74/74%), а также отличное качество для больных РС по содержанию популяции TcytNAIVE (0,903; 42%, 93/75%).

У больных ВЗК, ПС и РС превышение показателей полученных пороговых значений для наивных Т-клеток прогнозирует хороший ответ на терапию ГИБП, а превышение пороговых значений для Т-клеток памяти — недостаточный ответ на терапию.

Оценка вероятности прогноза эффекта терапии ГИБП в зависимости от содержания наивных Т-лимфоцитов и Т-клеток памяти показала высокую вероятность (75–90%) предсказания эффекта терапии ГИБП во время поддерживающего курса: у больных ВЗК — для популяций TNAIVE и TCM; у пациентов с ПС — для популяций TNAIVE, TCM, TEM; у больных РС — для популяций TEM, TcytNAIVE, TcytEMRA.

Прогнозирование эффекта ГИБП в зависимости от активности СДГ в Treg и индекса Th17/Treg

Получены пороговые значения для активности СДГ в Treg, ниже которых можно прогнозировать недостаточную эффективность терапии ГИБП у пациентов с ИЗЗ до назначения ГИБП и в период поддерживающего курса (табл. 3).

Наименьшее значение СДГ в Treg — 182 усл. ед. (у больных ПС) использовали для проверки вероятности прогноза эффекта ГИБП при исследованных формах патологии (ВЗК, ПС и РС). Выявлена высокая вероятность правильного прогноза для пациентов с ВЗК на терапии блокаторами ФНО (74%) и у больных ПС (80%) на терапии ADA/UST. Определена также высокая вероятность предсказания эффекта терапии при использовании комплекса пороговых значений СДГ в Treg и индекса Th17/Treg у пациентов с ВЗК в группах 6–12 лет (90%) и старше 12 лет на терапии блокаторами ФНО (84%), у больных ПС на терапии ADA/UST, а также у пациентов с РС (70%) на терапии ИФН-β1α.

Прогнозирование эффекта ГИБП в зависимости от содержания Treg c экспрессией эктонуклеотидазы CD39

Проведённый ROC-анализ показал очень хорошее качество разделительной модели «эффективность — неэффективность» по относительному содержанию Treg c экспрессией эктонуклеотидазы CD39 (CD39Treg) у больных ИЗЗ в период поддерживающего курса терапии ГИБП (рис. 2).

Снижение относительного содержания CD39Treg ниже пороговых значений в период поддерживающего курса терапии ГИБП прогнозирует недостаточную эффективность терапии ГИБП у больных ИЗЗ.

Проведённая проверка предсказывания эффекта биологической терапии в период поддерживающего курса лечения в зависимости от содержания Treg с экспрессией CD39 показала высокую вероятность прогноза у больных с исследованными формами патологии (83–94%).

Прогнозирование эффекта ГИБП в зависимости от содержания NK-клеток с транслокацией NF-κB

Анализ содержания основных популяций лимфоцитов показал достоверно более высокие значения активности NF-κB у больных при обострении заболевания, чем в группе сравнения: у больных ВЗК и ПС, по всем исследованным популяциям, кроме В-лимфоцитов, у больных РС — во всех популяциях, кроме В-лимфоцитов и активированных Т-хелперов (Thact) (табл. 4).

В ремиссии заболевания активность NF-κB при изученных формах патологии относительно группы сравнения была сравнима или ниже в отдельных популяциях лимфоцитов и только при ВЗК — выше в популяции CD4+-Т-клеток (табл. 4). У больных ВЗК и ПС активность NF-κB была значимо выше у больных с обострением по сравнению с ремиссией заболевания во всех изученных популяциях лимфоцитов (табл. 4). У больных РС различия между группами больных в обострении и ремиссии заболевания по активности NF-κB наблюдались для популяций CD4+-Т-лимфоцитов и NK-клеток.

ROC-анализ показал очень хорошее и отличное качество разделительной модели «обострение — ремиссия» по содержанию лимфоцитов с транслокацией NF-κB для исследованных форм патологии по NK-клеткам и позволил определить пороговые значения, выше которых можно прогнозировать активность воспалительного процесса, а также снижение эффективности ГИБП у больных ВЗК, ПС и РС (рис. 3). Проверка пороговых значений содержания NK-клеток с транслокацией NF-κB в прогнозе активности воспалительного процесса показала высокую вероятность правильных прогнозов (> 70%) для больных ВЗК, ПС и РС.

Алгоритм иммунологического обследования у детей с ВЗК, ПС и РС для прогноза эффективности ГИБП и активности воспалительного процесса

На основании полученных информативных иммунологических показателей (индекса Th17/Treg, суммы абсолютного количества MDSCs и Treg, активности СДГ в Treg, содержания CD39Treg, уровня транслокации NF-κB в NK-клетках), позволяющих с высокой вероятностью прогнозировать эффект биологической терапии и активность воспалительного процесса, разработан алгоритм иммунологического обследования больных ВЗК, ПС и РС (рис. 4).

Алгоритм иммунологического обследования включает оптимальный набор тестов, которые рекомендуется проводить у больных ВЗК, ПС и РС до назначения (I этап) и во время поддерживающего курса терапии ГИБП (II этап). До начала биологической терапии всем больным ВЗК, ПС, РС необходимо исследование иммунофенотипа лимфоцитов с оценкой содержания Th17-лимфоцитов, Treg-клеток и индекса Th17/Treg. Превышение возрастных пороговых значений индекса Th17/Treg прогнозирует высокий риск неэффективности терапии, таким больным целесообразно назначать дополнительные тесты по оценке активности СДГ в Treg иммуноцитохимическим методом, которые повышают вероятность прогноза.

Во время поддерживающего курса ГИБП всем больным ВЗК, ПС и РС целесообразно проведение комплексного иммуноцитохимического исследования с оценкой индекса Th17/Treg и активности СДГ в Treg. При получении у больных значений индекса Th17/Treg, превышающих возрастные пороговые значения, характерные для определённой формы патологии (ВЗК, ПС, РС), а также активности СДГ в Treg ниже 182 усл. ед., можно прогнозировать ускользание эффекта ГИБП. В сомнительных случаях, например, при индексе Th17/Treg в пределах возрастного диапазона, активности СДГ в Treg < 182 усл. ед., рекомендуется назначение теста по оценке активности фактора транскрипции NF-κB в популяции NK-клеток для определения активности воспалительного процесса в данный момент. При невозможности проведения данного теста (отсутствие необходимого оборудования) рекомендуется проводить уточняющие тесты по выявлению:

  1. относительного содержания Treg с экспрессией CD39;
  2. относительного содержания популяций Т-клеток памяти: TNAIVE и TCM — у больных ВЗК; TEM, TCM, TEM — у пациентов с ПС; TEM, TcytNAIVE, TcytEMRA — у больных РС;
  3. абсолютного содержание Reg-клеток (MDSCs+Treg).

Обсуждение

Заболеваемость ИЗЗ неуклонно растёт — аутоиммунными заболеваниями болеет каждый 10-й взрослый человек [17]. Дебют ИЗЗ в детском возрасте происходит у 4–5% больных РС, у 15–20% больных ВЗК, у 30–50% больных ПС [20–22]. В патогенезе ИЗЗ немаловажную роль играют клетки как врождённой, так и адаптивной иммунной системы [22–24]. Показана значимость баланса Th17-лимфоцитов и Т-регуляторных клеток и информативность их определения для оценки тяжести патологического процесса и эффективности биологической терапии при ИЗЗ, включая ВЗК, ПС и РС [9, 25–27]. Баланс Th17-лимфоцитов и Treg контролируется различными иммунными механизмами, цитокинами и метаболическими процессами в клетках [28]. Для получения энергии Th17-лимфоциты используют в большей степени гликолиз, чем процессы окислительного фосфорилирования, а также синтез жирных кислот. В то же время в метаболизме Treg преобладают процессы окислительного фосфорилирования и окисления жирных кислот и в меньшей степени — гликолиз [29, 30]. Нарушения метаболических путей значимо изменяются при различных формах аутоиммунной патологии [31, 32]. Кроме того, на баланс Th17 и регуляторных Т-лимфоцитов влияют экспрессирующиеся на поверхности клеток эктонуклеотидазы. При воспалении из повреждённых клеток образуется в большом количестве внеклеточный АТФ, который активирует дифференцировку Th17-лимфоцитов [33]. Эктонуклеотидазы CD39 и CD73 катализируют метаболизм АТФ до аденозина [34, 35]. Активно изучаются миелоидные клетки-супрессоры, которые, с одной стороны, оказывают ингибирующее воздействие на клетки-эффекторы, а с другой стороны, стимулируют увеличение количества Treg [36–38]. Иммунная память обеспечивает иммунный гомеостаз, способствуя быстрому и эффективному ответу Т-клеток при повторном контакте с антигеном. Нарушение баланса между популяциями Т-клеток памяти и Treg приводит к прогрессированию различных форм патологии, включая аутоиммунные заболевания [39, 40]. Важную роль в иммунной регуляции адаптивного иммунитета и иммунной толерантности, баланса между эффекторными и регуляторными клетками играет NF-κB [41, 42]. Treg могут ингибировать активность других иммунных клеток, активируя путь NF-κB, поддерживая иммунный баланс и аутотолерантность [43].

Широкое распространение для лечения ИЗЗ получили ГИБП, действие которых направлено на ингибирование пролиферации, миграции эффекторных Т-клеток, а также блокирование различных цитокинов (ФНО, ИЛ-17, -12 и -23, интегринов и др.). Несмотря на успешность применения ГИБП, у части больных возникает первичная и вторичная резистентность к препаратам, как это описано, например, при ВЗК [44, 45]. Понимание патогенетических путей развития ИЗЗ, раннее выявление больных с резистентностью к ГИБП, прогнозирование риска потери ответа на терапию позволит вовремя скорректировать терапию и снизить затраты на дорогостоящее лечение.

Разработанный алгоритм иммунологического обследования больных ИЗЗ позволяет прогнозировать ответ на терапию ГИБП и разработать индивидуальный план ведения пациента. Список разрешённых ГИБП для лечения больных ИЗЗ постоянно расширяется. Поэтому в перспективе алгоритм иммунологического обследования может быть дополнен другими информативными биомаркерами. Известно о пластичности популяций CD4+-Т-клеток и редифференцировке их в различные субпопуляции [46]. Описана двойная популяция Th17/Th1-лимфоцитов в инфильтратах воспалённой ткани, полученной от больных ВЗК и РС, обладающая более выраженными патогенными свойствами по сравнению с классическими Th17-клетками. Популяция Th17/Th1 может стать новым биомаркером при оценке активности воспалительного процесса и прогноза эффективности биологической терапии [47, 48].

Список литературы

1. Califf R.M. Biomarker definitions and their applications. Exp. Biol. Med. (Maywood). 2018; 243(3): 213–21. https://doi.org/10.1177/1535370217750088

2. Costa J., Macaron G., Khaled K.J. Biomarkers in multiple sclerosis: An update. Biomark. Neuropsychiatry. 2023; 9: 100075. https://doi.org/10.1016/j.bionps.2023.100075

3. Amini Kadijani A., Asadzadeh Aghdaei H., Sorrentino D., Mirzaei A., Shahrokh S., Balaii H., et al. Transmembrane TNF-α density, but not soluble TNF-α Level, is associated with primary response to infliximab in inflammatory bowel disease. Clin. Transl. Gastroenterol. 2017; 8(9): e117. https://doi.org/10.1038/ctg.2017.44

4. Liu D., Saikam V., Skrada K.A., Merlin D., Iyer S.S. Inflammatory bowel disease biomarkers. Med. Res. Rev. 2022; 42(5): 1856–87. https://doi.org/10.1002/med.21893

5. Hsieh C.L., Yu S.J., Lai K.L., Chao W.T., Yen C.Y. IFN-γ, IL-17A, IL-4, and IL-13: Potential biomarkers for prediction of the effectiveness of biologics in psoriasis patients. Biomedicines. 2024; 12(5): 1115. https://doi.org/10.3390/biomedicines12051115

6. Ayrignac X., Le Bars E., Duflos C., Hirtz C., Maleska Maceski A., Carra-Dallière C., et al. Serum GFAP in multiple sclerosis: correlation with disease type and MRI markers of disease severity. Sci. Rep. 2020; 10(1): 10923. https://doi.org/10.1038/s41598-020-67934-2

7. Offenheim R., Cruz-Correa O.F., Ganatra D., Gladman D.D. Candidate biomarkers for response to treatment in psoriatic disease. J. Rheumatol. 2024; 51(12): 1176–86. https://doi.org/10.3899/jrheum.2024-0396

8. Курбатова О.В., Петричук С.В., Мовсисян Г.Б., Купцова Д.Г., Радыгина Т.В, Анушенко А.О. и др. Роль малых популяций лимфоцитов при формировании фиброза печени у детей с гликогеновой болезнью. Российский иммунологический журнал. 2023; 26(3): 337–44. https://doi.org/10.46235/1028-7221-10013-ROM https://elibrary.ru/fklrml

9. Петричук C.В., Мирошкина Л.В., Семикина E.Л., Топтыгина А.П., Потапов А.С., Цимбалова E.Г. и др. Показатели популяционного состава лимфоцитов как предикторы эффективности терапии ингибитором TNFα у детей с воспалительными заболеваниями кишечника. Медицинская иммунология. 2018; 20(5): 721–30. https://doi.org/10.15789/1563-0625-2018-5-721-730 https://elibrary.ru/yltkuh

10. Радыгина Т.В., Купцова Д.Г., Петричук С.В., Потапов А.С., Мурашкин Н.Н., Абдуллаева Л.М. и др. Содержание миелоидных клеток-супрессоров при аутоиммунных заболеваниях у детей. Российский иммунологический журнал. 2023; 26(3): 381–8. https://doi.org/10.46235/1028-7221-10044-COM https://elibrary.ru/jiiodk

11. Радыгина Т.В., Петричук С.В., Купцова Д.Г., Курбатова О.В., Фисенко А.П., Абдуллаева Л.М. и др. Содержание Т-клеток памяти у детей с иммунозависимыми заболеваниями при разной эффективности биологической терапии. Российский педиатрический журнал. 2025; 28(1): 23–32. https://doi.org/10.46563/1560-9561-2025-28-1-23-32 https://elibrary.ru/tcnxvr

12. Петричук С.В., Курбатова О.В., Купцова Д.Г., Радыгина Т.В., Фрейдлин Е.В. Метаболизм популяций лимфоцитов у здоровых детей и пациентов с иммунозависимыми заболеваниями. Аллергология и иммунология в педиатрии. 2023; (2): 50–3. https://doi.org/10.53529/2500-1175-2023-2-50-53 https://elibrary.ru/iuthlg

13. Курбатова О.В., Радыгина Т.В., Купцова Д.Г., Петричук С.В., Мовсисян Г.Б., Потапов А.С. и др. Координация сигнального пути NF-κB и метаболизма лимфоцитов у детей с аутоиммунными заболеваниями. Российский иммунологический журнал. 2023; 26(4): 491–500. https://doi.org/10.46235/1028-7221-13800-COT https://elibrary.ru/zrvlew

14. Cattalini M., Maduskuie V., Fawcett P.T., Brescia A.M., Rosé C.D. Predicting duration of beneficial effect of joint injection among children with chronic arthritis by measuring biomarkers concentration in synovial fluid at the time of injection. Clin. Exp. Rheumatol. 2008; 26(6): 1153–60.

15. Курбатова О.В., Купцова Д.Г., Закиров Р.Ш., Радыгина Т.В., Мовсисян Г.Б., Фрейдлин Е.В. и др. Перспективы изучения иммунометаболизма в клинической практике. Вестник Ташкентской медицинской академии. 2023; 3(1): 98–104.

16. Лучинин А.С. Прогностические модели в медицине. Клиническая онкогематология. 2023; 16(1): 27–36. https://doi.org/10.21320/2500-2139-2023-16-1-27-36 https://elibrary.ru/uzeqzu

17. Conrad N., Misra S., Verbakel J.Y., Verbeke G., Molenberghs G., Taylor P.N., et al. Incidence, prevalence, and co-occurrence of autoimmune disorders over time and by age, sex, and socioeconomic status: a population-based cohort study of 22 million individuals in the UK. Lancet. 2023; 401(10391): 1878–90. https://doi.org/10.1016/S0140-6736(23)00457-9

18. Бойнова И.В., Самарина Д.В., Каторова А.В., Токарева Н.Г. Клинико-эпидемиологические особенности рассеянного склероза в Российской Федерации. Современные проблемы науки и образования. 2022; (5): 1–11. https://doi.org/10.17513/spno.32006 https://elibrary.ru/rxkcde

19. Яблокова Е.А., Горелов А.В., Сичинава И.В., Борисова Е.В., Полотнянко Е.Ю., Грамматопуло М.И. и др. Течение внекишечных проявлений воспалительных заболеваний кишечника у детей. Экспериментальная и клиническая гастроэнтерология. 2016; (8): 62–6. https://elibrary.ru/wxqeqx

20. Жукова О.В., Касихина Е.И. Эпидемиологические аспекты псориаза у детей. Клиническая дерматология и венерология. 2018; 17(5): 24–9. https://doi.org/10.17116/klinderma201817051 https://elibrary.ru/yqhjoh

21. de Souza H.S., Fiocchi C. Immunopathogenesis of IBD: current state of the art. Nat. Rev. Gastroenterol Hepatol. 2016; 13(1): 13–27. https://doi.org/10.1038/nrgastro.2015.186.

22. Chiricozzi A., Romanelli P., Volpe E., Borsellino G., Romanelli M. Scanning the immunopathogenesis of psoriasis. Int. J. Mol. Sci. 2018; 19(1): 179. https://doi.org/10.3390/ijms19010179

23. Conrad C., Gilliet M. Psoriasis: from pathogenesis to targeted therapies. Clin. Rev. Allergy Immunol. 2018; 54(1): 102–13. https://doi.org/10.1007/s12016-018-8668-1

24. Dulic S., Toldi G., Sava F., Kovács L., Molnár T., Milassin Á., et al. Specific T-cell subsets can predict the efficacy of anti-TNF treatment in inflammatory bowel diseases. Arch. Immunol. Ther. Exp. (Warsz). 2020; 68(2): 12. https://doi.org/10.1007/s00005-020-00575-5

25. Georgescu S.R., Tampa M., Caruntu C., Sarbu M.I., Mitran C.I., Mitran M.I., et al. Advances in understanding the immunological pathways in psoriasis. Int. J. Mol. Sci. 2019; 20(3): 739. https://doi.org/10.3390/ijms20030739

26. Jamshidian A., Shaygannejad V., Pourazar A., Zarkesh-Esfahani S.H., Gharagozloo M. Biased Treg/Th17 balance away from regulatory toward inflammatory phenotype in relapsed multiple sclerosis and its correlation with severity of symptoms. J. Neuroimmunol. 2013; 262(1-2): 106–12. https://doi.org/10.1016/j.jneuroim.2013.06.007

27. Hu H., Li H., Li R., Liu P., Liu H. Re-establishing immune tolerance in multiple sclerosis: focusing on novel mechanisms of mesenchymal stem cell regulation of Th17/Treg balance. J. Transl. Med. 2024; 22(1): 663. https://doi.org/10.1186/s12967-024-05450-x

28. Zhang S., Gang X., Yang S., Cui M., Sun L., Li Z., et al. The alterations in and the role of the Th17/Treg balance in metabolic diseases. Front. Immunol. 2021; 12: 678355. https://doi.org/10.3389/fimmu.2021.678355

29. Tomaszewicz M., Ronowska A., Zieliński M., Jankowska-Kulawy A., Trzonkowski P. T regulatory cells metabolism: The influence on functional properties and treatment potential. Front. Immunol. 2023; 14: 1122063. https://doi.org/10.3389/fimmu.2023.1122063

30. Shyer J.A., Flavell R.A., Bailis W. Metabolic signaling in T cells. Cell Res. 2020; 30(8): 649–59. https://doi.org/10.1038/s41422-020-0379-5

31. Pålsson-McDermott E.M., O’Neill L.A.J. Targeting immunometabolism as an anti-inflammatory strategy. Cell Res. 2020; 30(4): 300–14. https://doi.org/10.1038/s41422-020-0291-z

32. Yang W., Yu T., Cong Y. CD4+ T cell metabolism, gut microbiota, and autoimmune diseases: implication in precision medicine of autoimmune diseases. Precis. Clin. Med. 2022; 5(3): pbac018. https://doi.org/10.1093/pcmedi/pbac018

33. Vuerich M., Harshe R.P., Robson S.C., Longhi M.S. Dysregulation of adenosinergic signaling in systemic and organ-specific autoimmunity. Int. J. Mol. Sci. 2019; 20(3): 528. https://doi.org/10.3390/ijms20030528

34. Zeng J., Ning Z., Wang Y., Xiong H. Implications of CD39 in immune-related diseases. Int. Immunopharmacol. 2020; 89(Pt. A): 107055. https://doi.org/10.1016/j.intimp.2020.107055

35. Di Virgilio F., Sarti A.C., Coutinho-Silva R. Purinergic signaling, DAMPs, and inflammation. Am. J. Physiol. Cell Physiol. 2020; 318(5): C832–5. https://doi.org/10.1152/ajpcell.00053.2020

36. Millrud C.R., Bergenfelz C., Leandersson K. On the origin of myeloid-derived suppressor cells. Oncotarget. 2017; 8(2): 3649–65. https://doi.org/10.18632/oncotarget.12278

37. Xu D., Li C., Xu Y., Huang M., Cui D., Xie J. Myeloid-derived suppressor cell: A crucial player in autoimmune diseases. Front. Immunol. 2022; 13: 1021612. https://doi.org/10.3389/fimmu.2022.1021612

38. Sadeghi M., Dehnavi S., Sharifat M., Amiri A.M., Khodadadi A. Innate immune cells: Key players of orchestra in modulating tumor microenvironment (TME). Heliyon. 2024; 10(5): e27480. https://doi.org/10.1016/j.heliyon.2024.e27480

39. Raphael I., Joern R.R., Forsthuber T.G. Memory CD4+ T cells in immunity and autoimmune diseases. Cells. 2020; 9(3): 531. https://doi.org/10.3390/cells9030531

40. van Gisbergen K.P.J.M., Zens K.D., Münz C. T-cell memory in tissues. Eur. J. Immunol. 2021; 51(6): 1310–24. https://doi.org/10.1002/eji.202049062

41. Zaidi D., Wine E. Regulation of nuclear factor Kappa-Light-Chain-Enhancer of activated B cells (NF-κβ) in inflammatory bowel diseases. Front. Pediatr. 2018; 6: 317. https://doi.org/10.3389/fped.2018.00317

42. Uttarkar S., Brembilla N.C., Boehncke W.H. Regulatory cells in the skin: Pathophysiologic role and potential targets for anti-inflammatory therapies. J. Allergy Clin. Immunol. 2019; 143(4): 1302–10. https://doi.org/10.1016/j.jaci.2018.12.1011

43. Guo Q., Jin Y., Chen X., Ye X., Shen X., Lin M., et al. NF-κB in biology and targeted therapy: new insights and translational implications. Signal Transduct. Target Ther. 2024; 9(1): 53. https://doi.org/10.1038/s41392-024-01757-9

44. Marsal J., Barreiro-de Acosta M., Blumenstein I., Cappello M., Bazin T., Sebastian S. Management of non-response and loss of response to anti-tumor necrosis factor therapy in inflammatory bowel disease. Front. Med. (Lausanne). 2022; 9: 897936. https://doi.org/10.3389/fmed.2022.897936

45. Privitera G., Pugliese D., Rapaccini G.L., Gasbarrini A., Armuzzi A., Guidi L. Predictors and early markers of response to biological therapies in inflammatory bowel diseases. J. Clin. Med. 2021; 10(4): 853. https://doi.org/10.3390/jcm10040853

46. Brescia C., Audia S., Pugliano A., Scaglione F., Iuliano R., Trapasso F., et al. Metabolic drives affecting Th17/Treg gene expression changes and differentiation: impact on immune-microenvironment regulation. APMIS. 2024; 132(12): 1026–45. https://doi.org/10.1111/apm.13378.

47. Cerboni S., Gehrmann U., Preite S., Mitra S. Cytokine-regulated Th17 plasticity in human health and diseases. Immunology. 2021; 163(1): 3–18. https://doi.org/10.1111/imm.13280

48. Quirant-Sánchez B., Presas-Rodriguez S., Mansilla M.J., Teniente-Serra A., Hervás-García J.V., Brieva L., et al. Th1Th17CM lymphocyte subpopulation as a predictive biomarker of disease activity in multiple sclerosis patients under dimethyl fumarate or fingolimod treatment. Mediators Inflamm. 2019; 2019: 8147803. https://doi.org/10.1155/2019/8147803


Об авторах

Татьяна Вячеславовна Радыгина
ФГАУ «Национальный медицинский исследовательский центр здоровья детей Минздрава России
Россия

Канд. мед. наук, ст. науч. сотр., лаб. экспериментальной иммунологии и вирусологии, врач клинико-диагностической лаб. ФГАУ «НМИЦ здоровья детей» Минздрава России

e-mail: radigina.tv@nczd.ru



Светлана Валентиновна Петричук
ФГАУ «Национальный медицинский исследовательский центр здоровья детей Минздрава России
Россия

Доктор биол. наук, проф., гл. науч. сотр., лаб. экспериментальной иммунологии и вирусологии, ФГАУ «НМИЦ здоровья детей» Минздрава России

e-mail: cito@list.ru



Андрей Петрович Фисенко
ФГАУ «Национальный медицинский исследовательский центр здоровья детей Минздрава России
Россия

Доктор мед. наук, проф., директор ФГАУ «НМИЦ здоровья детей» Минздрава России

e-mail: director@nczd.ru



Дарья Геннадьевна Купцова
ФГАУ «Национальный медицинский исследовательский центр здоровья детей Минздрава России
Россия

Канд. мед. наук, врач клинической лабораторной диагностики, мл. науч. сотр., лаб. экспериментальной иммунологии и вирусологии, ФГАУ «НМИЦ здоровья детей» Минздрава России

e-mail: dg.kuptsova@gmail.com



Ольга Владимировна Курбатова
ФГАУ «Национальный медицинский исследовательский центр здоровья детей Минздрава России
Россия

Канд. мед. наук, и.о. зав. лаб. экспериментальной иммунологии и вирусологии, вед. науч. сотр., лаб. экспериментальной иммунологии и вирусологии, врач клинико-диагностической лаборатории диагностики ФГАУ «НМИЦ здоровья детей» Минздрава России

e-mail: putintseva@mail.ru



Антон Олегович Анушенко
ФГАУ «Национальный медицинский исследовательский центр здоровья детей Минздрава России
Россия

Врач гастроэнтерологического отделения с гепатологической группой, ФГАУ «НМИЦ здоровья детей» Минздрава России

e-mail: Anoushenko@gmail.com



Леонид Андреевич Опрятин
ФГАУ «Национальный медицинский исследовательский центр здоровья детей Минздрава России
Россия

Канд. мед. наук, врач-дерматовенеролог, отделение дерматологии и аллергологии, ФГАУ «НМИЦ здоровья детей» Минздрава России

e-mail: opryatin.l@gmail.com



Луизат Муслимовна Абдуллаева
ФГАУ «Национальный медицинский исследовательский центр здоровья детей Минздрава России
Россия

Мл. науч. сотр., лаб. редких наследственных болезней у детей Медико-генетического центра, врач-невролог, отделение психоневрологии и нейрореабилитации Центра детской психоневрологии, ФГАУ «НМИЦ здоровья детей» Минздрава России

e-mail: instorm@inbox.ru



Екатерина Валерьевна Фрейдлин
ФГАУ «Национальный медицинский исследовательский центр здоровья детей Минздрава России
Россия

Лаборант-исследователь, лаб. экспериментальной иммунологии и вирусологии ФГАУ «НМИЦ здоровья детей» Минздрава России

e-mail: frdl-cito@mail.ru



Александр Сергеевич Потапов
ФГАУ «Национальный медицинский исследовательский центр здоровья детей Минздрава России; ФГАОУ ВО «Первый Московский государственный медицинский университет им. И.М. Сеченова» Минздрава России (Сеченовский Университет)
Россия

Доктор мед. наук, проф., начальник центра воспалительных заболеваний кишечника ФГАУ «НМИЦ здоровья детей» Минздрава России; проф. каф. педиатрии и детской ревматологии, ФГАОУ ВО «Первый МГМУ им. И.М. Сеченова» Минздрава России (Сеченовский Университет)

e-mail: potapov@nczd.ru



Николай Николаевич Мурашкин
ФГАУ «Национальный медицинский исследовательский центр здоровья детей Минздрава России; ФГАОУ ВО «Первый Московский государственный медицинский университет им. И.М. Сеченова» Минздрава России (Сеченовский Университет); Центральная государственная медицинская академия Управления делами Президента
Россия

Доктор мед. наук, проф., гл. науч. сотр., руководитель НИИ детской дерматологии, зав. отделением дерматологии и аллергологии, врач дерматовенеролог, ФГАУ «НМИЦ здоровья детей» Минздрава России; проф. каф. педиатрии и детской ревматологии ФГАОУ ВО «Первый МГМУ им. И.М. Сеченова» Минздрава России (Сеченовский Университет); проф. каф. дерматовенерологии и косметологии ФГБУ ДПО «Центральная государственная медицинская академия» Управления делами Президента РФ

e-mail: m_nn2001@mail.ru



Людмила Михайловна Кузенкова
ФГАУ «Национальный медицинский исследовательский центр здоровья детей Минздрава России
Россия

Доктор мед. наук, проф., начальник центра детской психоневрологии, врач-невролог, ФГАУ «НМИЦ здоровья детей» Минздрава России

e-mail: kuzenkova@nczd.ru



Рецензия

Для цитирования:


Радыгина Т.В., Петричук С.В., Фисенко А.П., Купцова Д.Г., Курбатова О.В., Анушенко А.О., Опрятин Л.А., Абдуллаева Л.М., Фрейдлин Е.В., Потапов А.С., Мурашкин Н.Н., Кузенкова Л.М. Алгоритм иммунологического обследования детей с иммунозависимыми заболеваниями для прогноза эффективности биологической терапии. Российский педиатрический журнал имени М.Я. Студеникина. 2025;28(6):408-419. https://doi.org/10.46563/1560-9561-2025-28-6-408-419. EDN: yymyqa

For citation:


Radygina T.V., Petrichuk S.V., Fisenko A.P., Kuptsova D.G., Kurbatova O.V., Anushenko A.O., Opryatin L.A., Abdullaeva L.M., Freydlin E.V., Potapov A.S., Murashkin N.N., Kuzenkova L.M. Algorithm for immunological examination of children with immune-dependent diseases to predict the effectiveness of biological therapy. M.Ya. Studenikin Russian Pediatric Journal. 2025;28(6):408-419. (In Russ.) https://doi.org/10.46563/1560-9561-2025-28-6-408-419. EDN: yymyqa

Просмотров: 33

JATS XML


Creative Commons License
Контент доступен под лицензией Creative Commons Attribution 4.0 License.